氮素對茶樹產量與茶葉品質具有十分重要的作用。茶園土壤氮素空間異質性普遍存在,長期的免耕等保護性耕作和肥料的條狀淺施導致土壤中氮素的空間分異加劇。并且,茶園普遍采用的雙行雙株側窩種植模式會加劇土壤氮素的空間異質性。因此,探析茶樹對土壤氮空間異質性的適應機制十分重要。近年來,我所茶樹遺傳育種團隊成浩課題組,對茶樹耐氮貧瘠的生理和分子響應機制做了系統研究,在茶樹對土壤氮空間異質性的適應機制方面取得了重要進展。
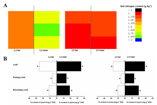
通過根系形態、氨基酸和氮素相關基因表達分析,評價了不同茶樹品種對土壤氮空間異質性的響應機制。在雙行雙株側窩種植模式下,不同茶樹品種對土壤氮空間異質性的適應能力不同。氮高效品種主要通過:優先發育二級根系、氮素向葉片的轉運、重要的氨基酸(茶氨酸、谷氨酸、γ-氨基丁酸和丙氨酸)相互轉化來提高對氮素空間異質性的適應能力。參與將γ-氨基丁酸、丙氨酸向茶氨酸、谷氨酸方向轉化的基因(CsGABA-T和CsAlaAT)在氮高效品種中上調,在低效品種中下調;而參與將茶氨酸、谷氨酸向γ-氨基丁酸、丙氨酸轉化的基因(CsGAD1和CsGAD2)在氮高效品種中下調,在低效品種中上調。另外,參與氮運輸和同化的基因(CsGS2和CsNRT2.5)在氮高效品種中上調,在低效品種中下調。
以上研究結果已在線發表在國際園藝科學領域重要期刊《園藝科學(Scientia Horticulturae)》上。該研究得到了國家自然科學基金、國家茶產業技術體系和浙江省農業(茶樹)新品種選育重大科技專項等項目的支持。
原文鏈接: https://doi.org/10.1016/j.scienta.2018.10.063

圖1 雙行雙株側窩種植模式下茶樹的表型

圖2 土壤和茶樹組織中的氮含量

圖3 茶樹游離氨基酸組分特征

圖4 茶樹氮調控相關基因的表達特性

圖5 重要氨基酸轉化及相關基因調控模式